
暗物质占宇宙物质总量约85%,被视为21世纪物理学的重大谜题之一。国际高度重视暗物质研究,欧美已制定详细规划并开展多项相关项目。中国亦将其纳入国家科技规划,近年来在暗物质探测与理论研究上取得显著进展,包括建设锦屏地下实验室进行直接探测实验和成功发射首颗暗物质探测卫星,均获重要成果。
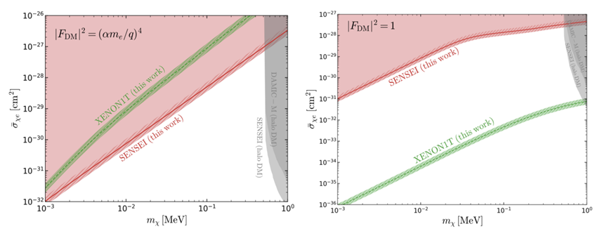
近日,欧冠官网中文版祝斌教授与北京化工大学梁正良老师、南京师范大学武雷教授、苏亮亮博士合作在国际物理学顶级期刊《Physical Review Letters》发表题为"Probing Sub-GeV Dark Matter via Plasmon Excitations in Semiconductor Detectors"的研究成果。该成果通过凝聚态物理与粒子物理的深度交叉融合,首次提出基于等离激元(plasmon)效应的创新探测范式,为破解轻暗物质探测困境开辟新路径。研究团队指出,该方案可无缝衔接当前半导体探测器的技术升级路线,为下一代轻暗物质探测实验的设计提供关键理论支撑。此项成果由北京化工大学、南京师范大学与欧冠官网中文版联合攻关完成,祝斌教授与梁正良老师、武雷教授、苏亮亮博士为共同通讯作者。研究工作获得国家重点项目、国家自然科学基金面上项目的资助。
《Physical Review Letters》是国际物理学极具声望的顶级期刊,其审稿严苛,是突破性成果的首选期刊,多篇诺奖论文刊发于此,全球科研者视其为学术影响力标杆,持续引领物理学科前沿发展。
论文链接:https://doi.org/10.1103/PhysRevLett.134.071001
来稿时间:2月27日 审核:刘俞斌 责任编辑:徐扬